Come possiamo calcolare l'alleggerimento in stormi
Titolo: calcolatrice
Molti di noi, soprattutto la vecchia generazione, valutano la leggerezza in un fiocco sull'occhio o nella lana: "È un po 'buio, faremo un'altra vite", "Per il tazi, il chift" sheisette " è abbastanza." Ma ci sono molti tipi di dispositivi di illuminazione, che hanno una potenza luminosa (dipendenza dalla luminosità dalla potenza) che distingue leggermente tra cinque e dozzine di cinque. La valutazione dell'illuminazione dell'agnello non può essere messa sotto controllo. Un parere soggettivo è un buon consigliere. Nel bacino l'articolo non viene conteggiato e calcolato per poco, ma dirigeremo anche con competenza il calcolo per chiarimenti, un'area per stanza.
Contenimento: 1. Come possiamo calcolare esattamente e correttamente l'alleggerimento 2. Oprosten nach 3. Prova per i calcoli 4. Le principali quantità per il design per chiarimenti 5. Regolamento
Come possiamo calcolare esattamente e correttamente l'alleggerimento
Andiamo avanti e prendiamo in prestito dalla matematica, raccoglieremo un tributo per calcolare la quantità di luce negli stormi. Tryabva scopriamolo:
- Standard di illuminazione per un gruppo specifico (alloggio, ufficio, corridoio, ecc.).
- Il coefficiente sull'uso del flusso luminoso è esattamente nella stanza delle merci.
- Tipo/i di lampada/i.
Aperto su uno standard per chiarimenti
Standard per l'illuminazione artificiale in aree residenziali e pubbliche
tipo gregge Grado di illuminamento, lx Abitazioni (salone, camera da letto, cucina, refettorio)150Studio, biblioteca300deca200Corridoi, campate50Kileri, servizi in camera30Bathhouse50Steelyard20Disegni vegetali500Lavoro al computer400Sale per conferenze200Aule, auditorium300Pavimenti Targovsky nei supermercati500
Calcolato per coefficiente in uso
Più tryabva e ora calcola il coefficiente sulla ricerca per indicizzazione. Il prodotto dipende dalle dimensioni geometriche della stanza (altezza, lunghezza, larghezza), dal coefficiente di riflessione sulla superficie (sotto, pareti, tavan) e dalla visuale del corpo illuminante (tavan, tondo).
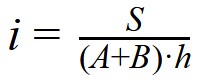
In primo luogo, l'indice izchislyavame per gregge i, che dipende geometricamente da esso. Indice ce calcolo secondo la formula:


Kadeto:
- i è l'indice per stormo;
- S e area per branco in m2;
- A e dzhinata alla stanza in m;
- B è la larghezza per stanza in m;
- h è la distanza tra il corpo illuminante e la superficie, contando da tempo la luminanza, in m.
Ora stimando il coefficiente di riflessione su tavana, stenite e focolare - ρn1, ρ° С, ρn2:
- superficie byala - 70%;
- leggerezza - 50%;
- sivo - 30%;
- scuro - 10%.
Il tipo di corpo illuminante viene solitamente selezionato dall'elenco standard:
CategoriaVeduta della torre faro Descrizione1
Mettere questa superficie superiore sulla tavana. La pala principale è su un e nadol.2 di colore chiaro
Montate su tavana o su stenata, dotate di paralumi con distribuzione prevalentemente a mezzo busto di tessuti chiari.3
Pompaggio con sennitsy, osiguryaschi distribuito uniformemente su vjv vsichki shoki di colore chiaro. La lampada senza paralume dà effetto.4
Dalle sfumature, che è pieno di kam tavana di colore chiaro, per sì, lo riflettono dalla superficie su tavana.5 
Da un basso punto di trasparenza o sfumature opache, dando un flusso stretto dalla luce alla regione scelta.
Lascia e sostituisci, ottieni i dati nella tabella e determiniamo il coefficiente sulla base.
Corpi illuminanti di categoria 1
Corpi illuminanti di categoria 2
Corpi illuminanti di categoria 3
Corpi illuminanti dalla categoria 4
Corpi illuminanti dalla categoria 5
Calcolo della necessità di un flusso luminoso
Tutti i dati per ottenere, lasciando calcoliamo il flusso luminoso, per sì determineremo il chiarimento necessario. Per inviare Compagno, usiamo la formula:


Kadeto:
- E - è necessario chiarire, lx;
- S - area per gregge, m2;
- n e coefficiente d'uso;
- F - è necessario un flusso luminoso, lm.
Oprosten nach
Ako yama alta ricerca per la precisione sul risultato, forse tutto sbagliato, il calcolo per l'illuminazione nella stanza è semplificato. In tosi, il caso della formula per il calcolo di e è:


È più semplice che non si tratta solo di calcolare il coefficiente sull'utilizzo del corpo illuminante n, ma piuttosto il costo medio è 0,5.
Ima ha ancora un unico metodo, così come qualche coro valuta la necessità di una precisazione: “C'è ancora abbastanza per un metro quadrato qui”. Il metodo Tosi è fresco di tarsene nella tabella per la potenza elettrica richiesta, a seconda dello scopo della stanza. Ovviamente, l'accuratezza di un tale "calcolo" non è elevata, ma daremo comunque un tavolo.
Potenza per lampada per illuminazione standardizzata in locali residenziali
tipo gregge Potenza totale per lampada, W Lampi Lampade fluorescenti Lampada a LED Tutto il giorno con una superficie di circa 18 mq
3507040Tutti i giorni con superficie standard media2004025Cucina1503018Bagni1002012Bagni60127Corridoio, corridoio1002012
E tretyat, nay-lesniyat, makar e non nay-accurato avvio e utilizzo online calcolatore per chiarimenti per gregge.
Zarezhdane... per stormo, m Larghezza per stormo, m Lampade Broy Zona C Flusso luminoso F Per l'illuminazione su uno stormo di lampade con una potenza totale: W Silata su una singola lampada W Illuminazione su uno stormo di stormi di e Lux
campo elettronico
Una traccia di stabilità del catodo per le esigenze è un flusso luminoso, perché tutto sommato vengono gettati su una lampada per un motivo. Per sì, invia la merce, è sufficiente dividere il flusso luminoso da noi nel flusso luminoso in un'unica lampada (di solito imballata su un pacco).
Ciao! Se non sai quanto è luminoso il flusso della lampada, usa la tabella, quindi moltiplica il valore per lm / W per la potenza per lampada.
Tabella per l'accensione di lampade di diversi tipi
tipo di lampada Efficienza Svetlinna, lm / W Nicchia convenzionale 10-16 Alogena 15-22 Luminescente 50-70 Sodio 150-200 Alogenuri metallici (xeno) 70-100 LED 80-120 indietro kjm sdzharzhanieto ↑
Prova per i calcoli
Inviamo alcuni calcoli basati sul mining. Cambiamolo di sicuro.
Esempio di calcolo 1
Vsekidnevna con una superficie di 20m2, lunghezza - 5 m, larghezza - 4 m, altezza sulla tavana - 2,5 m. La lunghezza sull'okachvane è di 40 cm.
- In SanPiN, il grado di illuminazione è di 150 lux.
- Determina l'indice per il gregge i: 20 / ((5 + 4) * 2.1) = 1.0.
- Calcolo del coefficiente di riflessione su tavana, stenite e focolare - ρр1 = 70%, ρc = 50%, ρп2 = 10%.
- Diamo un'occhiata alla tabella 4 dalla categoria di illuminazione del corpo e alla denominazione del coefficiente sull'uso - 0,57.
- Calcolo della necessità di un flusso luminoso: (150 * 20) / 0,57 = 5.300 lm.
Esempio 2
Area bambini 12 m2, lunghezza - 3 m, larghezza - 3 m, altezza sulla tavana - 2,5 m Tavanna lampada texture. Tavant e byal, parete dal verde chiaro, si alzano.
- In SanPiN, il grado di illuminazione è di 200 lux.
- Determina l'indice per il gregge i: 12 / ((3 + 4) * 2,5) = 0,6.
- Calcolo del coefficiente di riflessione su tavana, stenite e focolare - ρр1 = 70%, ρc = 50%, ρп2 = 30%.
- Diamo un'occhiata alla tabella 1 dalla categoria dell'illuminazione del corpo e alla denominazione del coefficiente sull'uso - 0,3.
- Calcolo della necessità di un flusso luminoso: (200 * 12) / 0,3 = 8000 lm.
Esempio 3
Un gregge di classe con una superficie di 54 m2, lunghezza - 9 m, larghezza - 6 m, altezza sulla tavana - 2,5 m. Tavant e byal, wall sa leggermente cremoso, rise kafyav.
- In SanPiN namirame, il grado di illuminazione è di 300 lux.
- Determina l'indice per il gregge i: 54 / ((9 + 6) * 2,5) = 1,44.
- Calcolo del coefficiente di riflessione su tavana, stenite e focolare - ρп1 = 70%, ρc = 50%, ρп2 = 30%.
- Le chiamate sono sulla tabella 3 dalla categoria di illuminazione del corpo, il coefficiente sull'uso è 0,64.
- Calcolo della necessità di un flusso luminoso: (300 * 54) / 0,64 \u003d 25.300 lm.
Lascia e scegli le esigenze di una buona lampada, in modo che comunichino con loro un flusso luminoso, viene calcolata anche una cifra.
Le principali quantità per il design per chiarimenti
In conclusione, diamo un'occhiata a come il valore di sa deve essere calcolato correttamente per l'illuminamento quando proiettato per chiarimenti e kakvisat.
- Flusso di Svetlinen.
Misurato in lumen (lm). Riflettendo l'intensità dello svetlinat, isolato dalla fonte. Nel nostro caso, la lampada. - Efficienza Svetlinna.
Misurato in lumen per watt (lm/W). Mostra l'efficienza della sorgente luminosa. Kolkoto è in ottima relazione, è ragionevole in termini di efficienza. Per una lampada con una lettiera illuminata, la variazione è di 10-16, a seconda della potenza.La lampada a LED può e ha un'efficienza luminosa da 120 lm / W o più. - Alleggerimento.
Misurato in lux (lx). Mostra quanto l'oggetto è illuminato. Ako per un'area da 1m2, più di 1 lumen, togava che illumina più di 1 lux. - Laurea in corsa.
Stoynost senza un'unità, che in qualche modo mostra se causticamente efficace dalla fonte di luce. Coefficiente Ako 1, il che significa che la radiazione dalla sorgente ha raggiunto la superficie in superficie. In pratica, la stabilità dipende da molti fattori (riflessione delle proprietà sull'oggetto, distanza dalla sorgente, passaggio della luce dall'ambiente circostante, ecc.).
Maggiori dettagli per qualsiasi tesi di valore, si possono e si intendono nello statuto „In quali unità sono le misure di illuminamento e luminosità per luce - come rappresenta l'appartamento».
Regolamento
Come sono gli studi normativi del trebva e di tutti gli spazvat durante la progettazione per il chiarimento e calcolati per l'illuminamento? Ecco la base di tyah:
- SP 52.13330.2011 Schiariture naturali e artificiali.
- SanPiN 2.21 / 2.1.1 / 1278-03 "Ricerca igienica per l'illuminazione naturale, artificiale e combinata negli edifici residenziali e pubblici".
- GOST R 55710-2013 "Chiarimento nei luoghi di lavoro nella recinzione".
- GOST R 56852-2016 "Illuminazione artificiale nell'industria dei locali per la vendita di trasporti in ferro".
- GOST 24940-96 “Recinzioni e strutture. Metodi di misurazione dell'illuminazione.
Sul bianco. Maggiori informazioni per abstract e altri documenti, relativi a chiarimenti, si può sì intende dichiarare "Norme e regolamenti per chiarimenti, SNiP, GOST, PUE».
Razbrahme, di regola, calcoliamo il chiarimento in stormi, per non rovinare la visione. Nadiavame se, che statiyata è ancora utile per alcuni, alcuni colgono seriamente con chiarimenti a casa si, e non sull'occhio.
PrecedenteChiarimento Come una sorta di chiarimento per le piantine, è bene scegliereProssimoAlleggerimento




